学院全景
|
安全工作
|
图书馆
|
教务系统
|
OA系统
|
搜索
首页
学院概况
学院简介
现任领导
学院章程
领导关怀
长医影像
组织架构图
机构设置
党群建设
教学科研
康养文化
健康中国
职教动态
职教政策
招生就业
招生处
就业处
校园生活
合作交流
社会服务
招贤纳士
人才引进
社会招聘
校园招聘
联系我们
信息公示
学院新闻
通知公告
院务公开
信息公开
学院新闻
首页
·
信息公示
·
信息公开
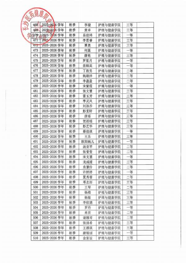
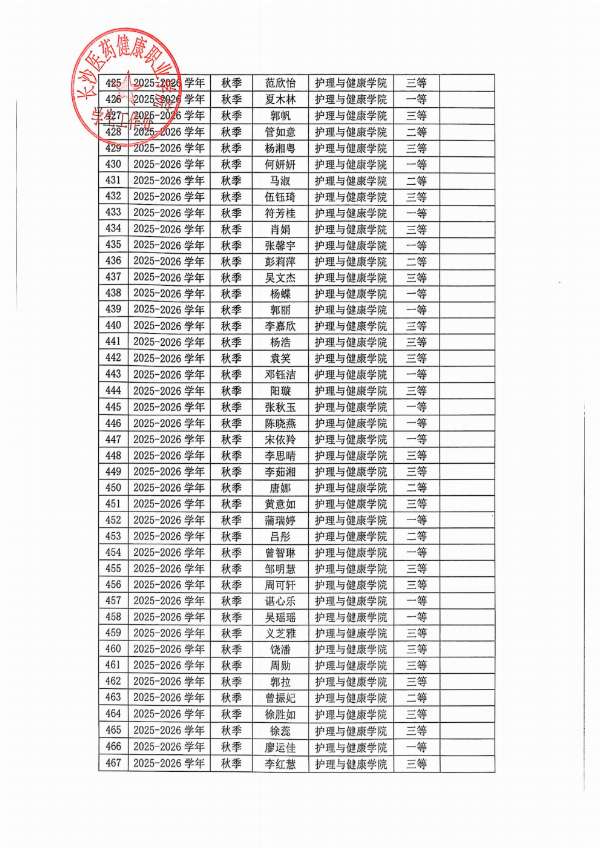
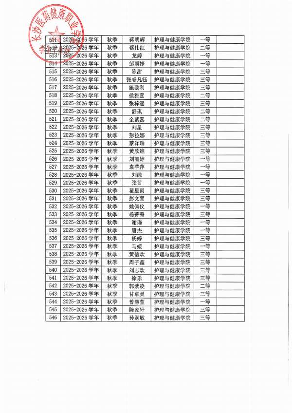
关于审核批准 2025 级学生国家助学金关于唐迪等 546 名学生获评2025-2026学年国家助学金的公示
类别:信息公开
作者:长沙医药健康职院
时间: 2025-11-19 13:48
浏览:
下一篇: 长沙医药健康职业学院电教室改造和新建竞争性谈判文件
上一篇: 没有了
相关新闻推荐
关于审核批准 2025 级学生国家助学金关于唐迪等 546 名学生获评2025-2026学年国家助学金的公示
...
日期:2025.11.19
浏览:31
长沙医药健康职业学院电教室改造和新建竞争性谈判文件
附件:长沙医药健康职业学院电教室改造和新建竞争性谈判文件.x...
日期:2025.11.12
浏览:50
长沙医药健康职业学院2024-2025年信息公开工作年度报告
...
日期:2025.11.09
浏览:62
2025年国庆节中秋节放假安排的通知
...
日期:2025.09.20
浏览:146
军训进行时|着迷彩,赴青春 —— 汗水与笑容,共绘炽热章
...
日期:2025.09.12
浏览:0
躬耕教坛守初心 强师铸魂谱新篇 —— 长沙医药健康职业学院隆重举行第 41 个教师节庆祝大会
...
日期:2025.09.10
浏览:0
从“有料”到“对味”!湖南让思政课“活”出高质量
...
日期:2025.09.09
浏览:0
你好,新同学!
...
日期:2025.09.09
浏览:0
新程启华章,聚力育新人——长沙医药健康职业学院教职工培训开班仪式顺利举行
...
日期:2025.08.17
浏览:0
全省教育系统举办思政课教师“三高四新”省情集体备课活动 沈晓明毛伟明分别授课
...
日期:2025.07.19
浏览:1
医学技术学院
医学智能工程学院
药学院
健康学院
护理学院
基础医学部
公共课部
马克思主义学院
继续教育与国际交流学院
友情链接
中国教育部
卫生健康委
高职高专教育网
中国大学生在线
学信网
官方微信
视频号
官方抖音
联系电话:0731-85857999
地址:长沙市南横线东段6号
2024 © 版权所有:长沙医药健康职业学院 ICP备案号:
湘ICP备2024078165号-1
湘公网安备43018102000556号